Volume 4 Issue 2 - 2023


DOI: 10.59152/ESJCR/1041

Letter to Editor

posterior reversible encephalopathy after normal delivery

Abhishek Biswas

Posterior Reversible Encephalopathy Syndrome (PRES) is a clinicoradiological syndrome1 with multifactorial risk factors like preeclampsia and eclampsia. It should be considered in all pregnant and postpartum females having neurological signs and symptoms along with radiological features. Early diagnosis and management is vital in this reversible condition.2

Continue reading

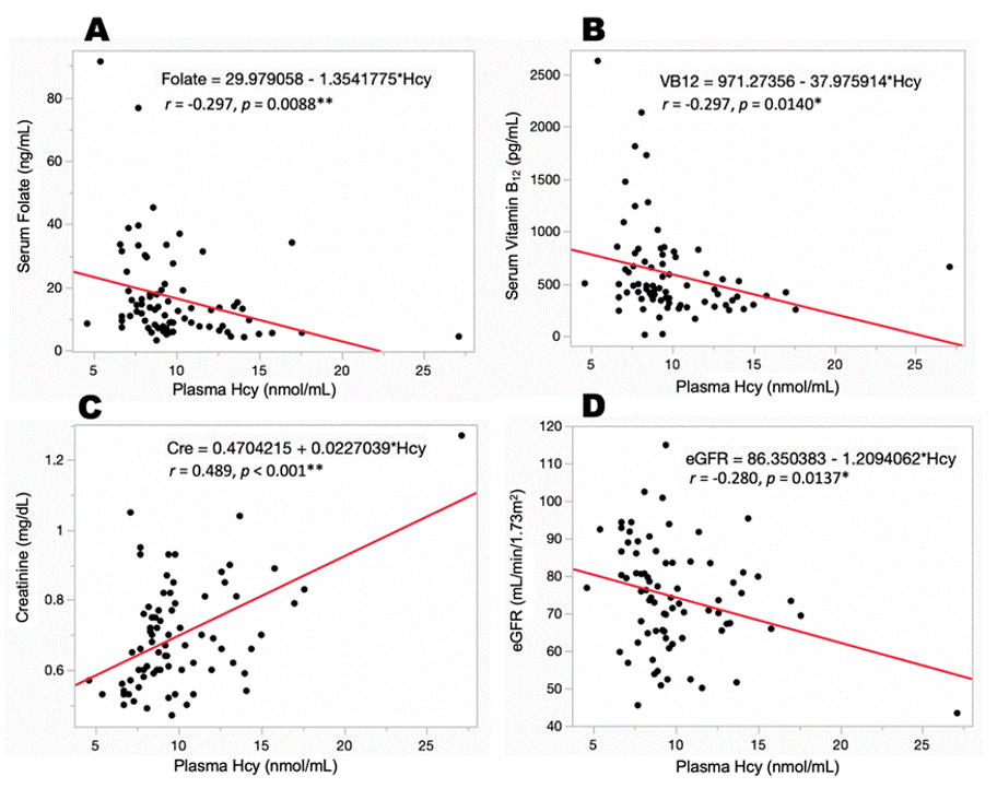
DOI: 10.59152/ESJCR/1042

Research Article

Relationship between Decline in Cognitive Function and Homocysteine, Folate, and Vitamin B12

Takuji Shirasawa*

Hyperhomocysteinemia (HHcy) causes various diseases, including cardiovascular disease, osteoporotic fractures and dementia...

Continue reading

DOI: 10.59152/ESJCR/1043

Case Report

Case Report and Literature Review: A Severe Case of Pyoderma Gangrenosum Approached with Regenerative Medicine

Yomira N Ortiz-Avilez, Perla Palafox-Herrera, Siddhartha Palacios, Selem Torres, Miguel Ramirez-Amezcua, Diana Esquive*

Pyoderma gangrenosum (PG) is a challenging autoinflammatory neutrophilic dermatoses (ND) condition characterized by painful skin alterations leading to ulceration and tissue necrosis...

Continue reading

DOI: 10.59152/ESJCR/1044

Review Article

Pancreas Transplantation Alone for Brittle Diabetes Mellitus

Rainer WG Gruessner*, Angelika C Gruessner

Only about 8% of all pancreas transplants for insulin-dependent diabetes mellitus are performed in the Pancreas Transplant Alone (PTA) category...

Continue reading