Volume 1 Issue 1 - 2020


Research article

Antimicrobial activity of extracts of medicinal plants Hipericum perforatum, Matricaria chamomilla, Geranium sangguineum and Nepeta cataria and their application in the treatment of certain infectious diseases in Macedonia

Dragan Jovanov*

Active ingredients from plants Hipericum perforatum, Matricaria chamomilla, Geranium sangguineum and Nepeta cataria manifested different antimicrobial activity in their use depending on the used concentration of the extract. Antibacterial activity and its examination was conducted survey of 150 people

Continue reading
Research article

The antimicrobial activity of essential oils and extraction of medicinal plants Galium verum, Echinacea, Garlic, Turmeric, Corn silk, Raspberry, Red John’s wort, St. John’s Wort and Ginger and use as adjuvant therapy in the treatment of cancer of the lymphatic system

Dragan Jovanov*

Essential oils derived from plants or their secondary metabolism, which are formed by a group of cells or fibers placed in stems and leaves of plants. Essential oils are isolated with plant material by via several methods, of which the most widely used method of distillation.

Continue reading
Review Article

Important of nutrition campaign in emergency

Ruqia Ahmed and Ayesha Mushtaq*

A campaign is a planned set of activities that people carry out over a period of time in order to achieve something such as nutrition change. Nutrition and hydration campaign is very crucial for promoting awareness and encourage healthy diet daily.

Continue reading
Research Article

A preliminary study on the status of essential Cu, Fe and Zn in the leaflets of oil palm (Elaeis guineensis) collected from Lekir, Peninsular Malaysia

Chee Kong Yap1*, Wan Hee Cheng2, Nur Aishah Hashim1, Shih Hao Tony Peng3, Mohd Hafiz Ibrahim1, Rosimah Nulit1, Chee Wah Yap4, Moslem Sharifinia5, Alireza Riyahi Bakhtiari6, Salman Abdo Al-Shami7, Chee Seng Leow8 and Mohamad Saupi Ismail9

The present study aimed to determine the status of essential Cu, Fe and Zn in the leaflets of oil palm (Elaeis guineensis) (age > 20 years), and to determine the ecological risk assessment of Cu and Zn in the habitat topsoils collected from four sampling sites (House area (HA); Forest; Factory; Roadside (RS)) from Lekir oil palm plantation, in 2014

Continue reading
Research Article

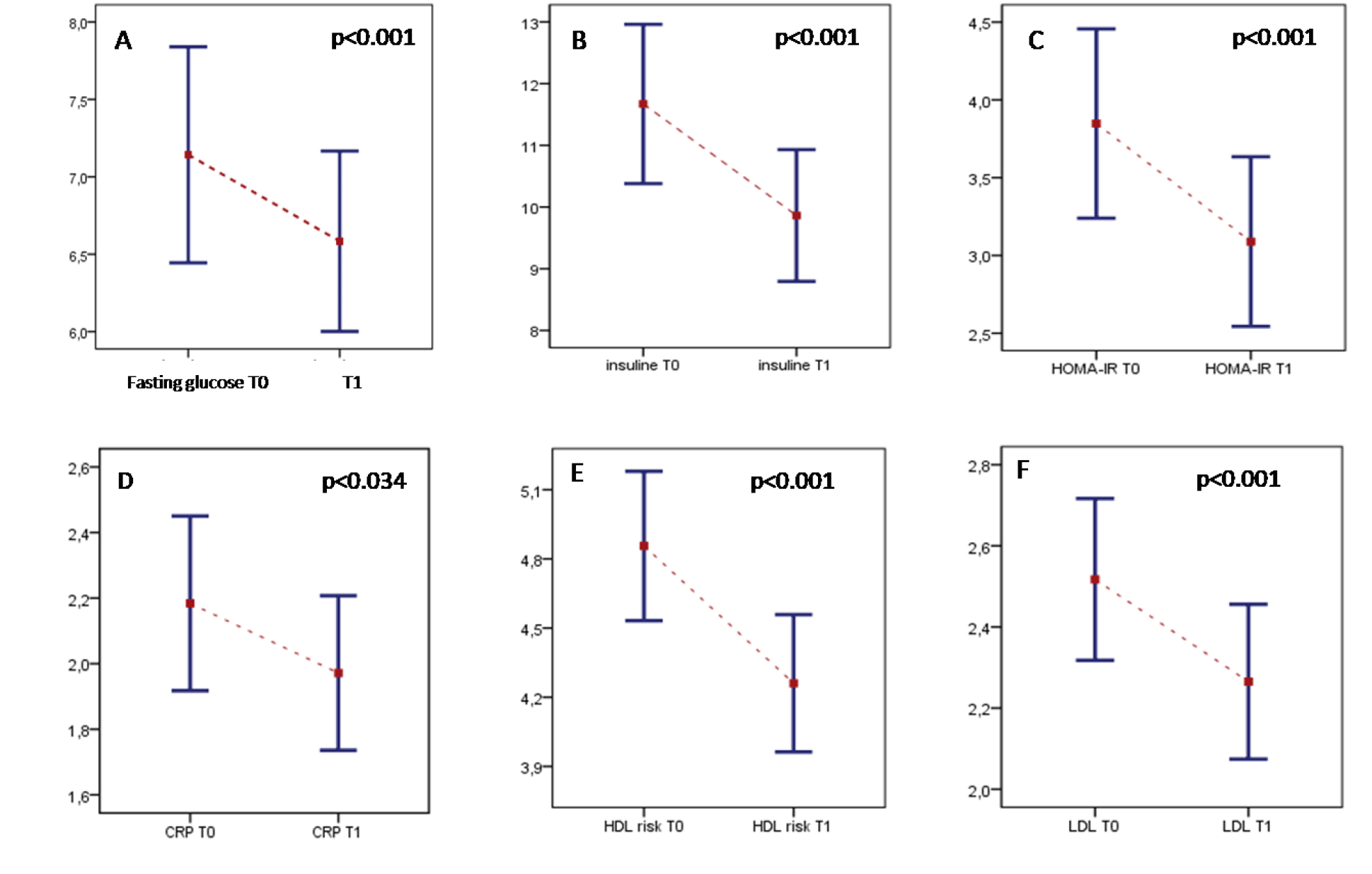
Impact of Ramadan fasting on lipid profile and cardiovascular risk factors in patients with stable coronary artery disease

Habib Ben Ahmed*1,3, Kahena Bouzid2,3,4, Emna Allouche1,3, Sabrine Zrelli4, Wided Hmaidi2, Wejdane Ouechtati1,3, Leila Bezdah1,3

Background: Ramadan fasting concerns over one billion Muslims in the world.
The effects of fasting on cardiometabolic risk factors in patients with stable ischemic heart disease are not well known.
Aim: we aimed to evaluate the impact of fasting on lipid profile and cardiovascular risk factors in patients with stable coronary heart disease.

Continue reading