Download PDF

ES Journal of Neurology

ISSN: 2768-0606

Oxidative stress in brain tissue and serum of rats treated with cannabis resin, tramadol or both

  • Research Article

  • Omar M E Abdel-Salam1*, Amany A Sleem2, Eman R Youness3 and Enayat A Omara4
  • 1Department of Toxicology and Narcotics, National Research Centre, Egypt
  • 2Department of Pharmacology, National Research Centre, Egypt
  • 3Department of Medical Biochemistry, National Research Centre, Egypt
  • 4Department of Pathology, National Research Centre, Egypt
  • *Corresponding author: Omar M E Abdel Salam, Department of Toxicology and Narcotics, National Research Centre, Tahrir St., Dokki, Cairo, Egypt
  • Received: Jan 28, 2020; Accepted: Feb 24, 2020; Published: Feb 25, 2020
  • Copyright: 2020 Omar M E Abdel Salam. This is an open-access article distributed under the terms of the Creative Commons Attribution License, which permits unrestricted use, distribution, and reproduction in any medium, provided the original author and source are credited.

Abstract

Objective: we aimed to investigate the effect of Cannabis sativa resin and/or tramadol, two commonly drugs of abuse, on oxidative stress biomarkers in brain and serum following their repeated administration.

Methods: rats received subcutaneous (s.c.) injections of either cannabis resin (5-20 mg/kg) (expressed as Δ9- tetrahydrocannabinol), tramadol (5-20 mg/kg) or tramadol (10 mg/kg) combined with cannabis (5-20 mg/kg) daily for 6 weeks. The levels of lipid peroxidation (malondialdehyde; MDA), nitrite, reduced glutathione, and nuclear respiratory factor-2 (NRF-2) were measured in brain and serum. Histopathological examination of the brain was also done.

Results: as compared to corresponding controls (i) Malondialdehyde was significantly increased in brain by tramadol and tramadol-cannabis co-treament. It increased in serum by cannabis, tramadol and after tramadol-cannabis co-treatment; (ii) nitric oxide was significantly increased in the brain by treatment with 20 mg/kg tramadol. It decreased by the higher dose of cannabis and by the cannabis-tramadol combination; (iii) reduced glutathione was significantly increased in brain and serum by 20 mg/kg cannabis. It decreased by the higher dose of tramadol but increased after the combined administration of tramadol-20 mg/kg cannabis; (iv) NRF-2 showed no-significant change in brain tissue by treatment with cannabis, tramadol or their combination. Serum NRF-2, however, significantly decreased by 5-20 mg/kg cannabis. It decreased by 20 mg/kg tramadol and after tramadol and cannabis at 10 or 20 mg/kg, respectively, compared with the saline control group. It decreased in serum by the higher dose of tramadol and tramadol/10-20 mg/kg-cannabis; (v) cannabis resulted in neuronal apoptosis and pyknotic nuclei. More marked neurodegenerative changes were observed after tramadol or tramadol/cannabis in the form of neuronal necrosis, pericellular vacuoles, and apoptosis.

Conclusion: collectively, these results indicate that treatment with cannabis resin and/or tramadol is associated with an oxidative response and the development of brain injury.

Keywords

Cannabis; hashish; tramadol; brain injury; oxidative stress; nuclear respiratory factor-2

Introduction

Oxygen derived free radicals are produced in the cell as byproducts of aerobic metabolism. The most important source of endogenously generated Reactive Oxygen Species (ROS) is the mitochondrial respiratory chain where it is estimated that 1% of electrons leaks from the mitochondrial electron transport chain resulting in the generation of superoxide anion (O2˙ˉ) which could be converted into hydrogen peroxide (H2O2) via the superoxide dismutases [1]. Meanwhile, in presence of redox-cycling transition metals, H2O2 will produce the hydroxyl radial (HO•) via the Fenton reaction. Moreover, the reaction of O2˙ˉ with nitric oxide results in the formation of peroxynitrite (ONOOˉ). Both HO• and ONOOˉ are strong oxidants capable of oxidative damage of cellular biomolecules [2,3]. The generation of ROS in the cell is counterbalanced by a number of antioxidants mechanisms including enzymes like superoxide dismutases, catalase and non-enzymatic antioxidants eg., glutathione, vitamin C, α-tocopherol, carotenoids. It is only when the capacity of these antioxidants are overwhelmed by the increase in ROS, that the balance in the cell is tilted towards the oxidant side and the state of oxidative stress is said to be present [4]. Oxidative stress has been suggested as a major mechanism contributing to the neurodegeneration that occurs in normal aging [5], in diseases such as Parkinson’s disease and Alzheimer’s disease [6] and in users of illicit drugs and substances eg., amphetamines [7] and toluene [8].

Cannabis preparations from the female plant Cannabis sativa L are the most widely used illicit substances for in the year 2014, about 183 million people had been reported as users [9]. Cannabis preparations comprise marijuana i.e., the flowers and upper leaves and hashish or the compressed plant resin. Cannabis owes its psychoactive effects to its principal cannabinoid constituent that is Δ9-tertrahydrocannabinol (Δ9-THC) acting on cannabinoid CB1 receptors in brain [10]. Users of cannabis describe mild euphoria, relaxation and sensory phenomena [11]. Cannabis, however, adversely affects cognitive abilities [12], worsens memory performance [13] and more seriously increases the liability for developing schizophrenia [14]. Moreover brain imaging studies have provided evidence for structural changes in the brain of subjects who are heavy users of cannabis, with Δ9-THC being the candidate implicated in this effect [15]. Rats treated with cannabis extracts showed impaired memory and neuronal damage [16,17]. The mechanism by which cannabis causes neurotoxicity is not yet fully understood, but studies suggest free radical- mediated damage as the likely cause [18,19].

Tramadol is a synthetic analogue of codeine having weak affinity for the μ-opioid receptors. It has also serotonin and noradrenaline-reuptake inhibitory effects. The drug is a centrally acting potent analgesic and is used to treat musculoskeletal disorders or cancer pain [20]. In recent years, tramadol has emerged as a serious health problem and there have been several reports of tramadol abuse or dependence, especially among young adults and students [21-23]. There is, however, limited data as regards tramadol neurotoxicity. Studies reported the occurrence of degenerated red neurons, apoptotic neurons, and gliosis as well as increased oxidative stress in the brain of rats treated with the drug [23].

Several studies have indicated the intake of tramadol is common among subjects who smoke herbal cannabis [23,24]. Cannabis abuse is a major health problem and its combination with tramadol might result in increased injury to the nervous system. The aim of this study was, therefore, to investigate the effect of cannabis and tramadol given alone or in combination on oxidative stress parameters and neuronal injury in brain of rats.

Materials and methods

Animals

Male Sprague-Dawley rats, weighing between 130- 140g were obtained from Animal House of the National Research Centre, Cairo. Rats were group-housed under temperature- and light-controlled conditions and given free access to standard laboratory rodent chow and water. The experimental procedures were performed in compliance with the institutional Ethics Committee and with the guidelines of the National Institutes of Health Guide for Care and Use of Laboratory Animals (Publication No. 85-23, revised 1985).

Drugs and chemicals

Cannabis sativa resin (hashish) and tramadol were kindly provided by the Laboratory of Forensic Sciences of the Ministry of Justice (Cairo, Egypt). Other chemicals and reagents were of analytical grade and obtained from Sigma Chemical Co. (St. Louis, MO, U.S.A).

Preparation of cannabis resin extract

Cannabis resin extract was prepared from the dried resin of Cannabis sativa (Family Cannabaceae L). The extraction was performed using chloroform according to the method of Turner and Mahlberg [25] with modification. In brief, 10 g of the resin was grounded in a mortar, subjected to oven heat (100°C) for 1h to decarboxylate all its cannabinolic acids content. The resin was extracted in chloroform overnight and then filtered. The filtrate was evaporated under a gentle stream of nitrogen, stored at 4°C and protected from light in an aluminium-covered container. One gram of the residue (dry extract) was suspended in in 2% ethanol-saline. Δ9-tetrahydrocannabinol (Δ9-THC) content was quantified using gas chromatography–mass spectrometry (GC-MS). The resin contained ∼ 20% Δ9-THC and 3% CBD.

Study design

Rats were randomly allocated into different groups (six rats each) receiving subcutaneous (s.c.) administrations of either saline, Cannabis sativa resin extract at 5, 10 or 20 mg/ kg (expressed as Δ9-tetrahydrocannabinol), tramadol at 5, 10 or 20 mg/kg or tramadol (10 mg/kg) in combination with Cannabis sativa resin (5, 10 or 20 mg/kg) as follows:

Group 1 was treated with the vehicle (0.2 ml saline).

Group 2-4 were treated with Cannabis sativa resin at the doses of 5, 10 and 20 mg/kg (equivalent to the active constituent Δ9-tetrahydrocannabinol).

Groups 5-7 were treated with tramadol at doses of 5, 10 and 20 mg/kg.

Groups 8-10 were treated with tramadol at 10 mg/kg in combination with Cannabis sativa resin (5, 10 or 20 mg/ kg).

Drugs were given s.c., daily for 6 weeks. Rats were then euthanized by decapitation for tissue collection; their brains rapidly dissected, snap-frozen in liquid nitrogen, and tissue samples stored at -80°C until the biochemical analyses. Representative brain sections were immersed in 10% formol saline for histopathological studies.

Biochemical studies

Lipid peroxidation: Lipid peroxidation products in the brain homogenates was assayed by measuring the level of malondialdehyde (MDA) using the method of Nair and Turner [26]. In this assay, the thiobarbituric acid reactive substances react with thiobarbituric acid to produce a red colored complex having a peak absorbance at 532 nm.

Nitric oxide: Nitric oxide measured as nitrite was determined using Griess reagent, according to the method of Moshage et al. [27]. First, nitrate is converted to nitrite via nitrate reductase. Griess reagent then acts to convert nitrite to a deep purple azo compound that can be determined using spectrophotometer.

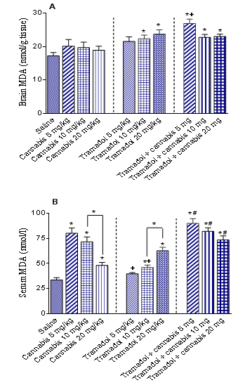
Figure 1: Effect of cannabis, tramadol or their combined administration for 6 weeks on (A) brain malondialdehyde (MDA) and (B) serum malondialdehyde (MDA). Values are mean ± SEM. *p< 0.05 vs. saline. +p<0.05 vs. cannabis only at 5 or 10 mg/kg. # p<0.05 vs. only tramadol.

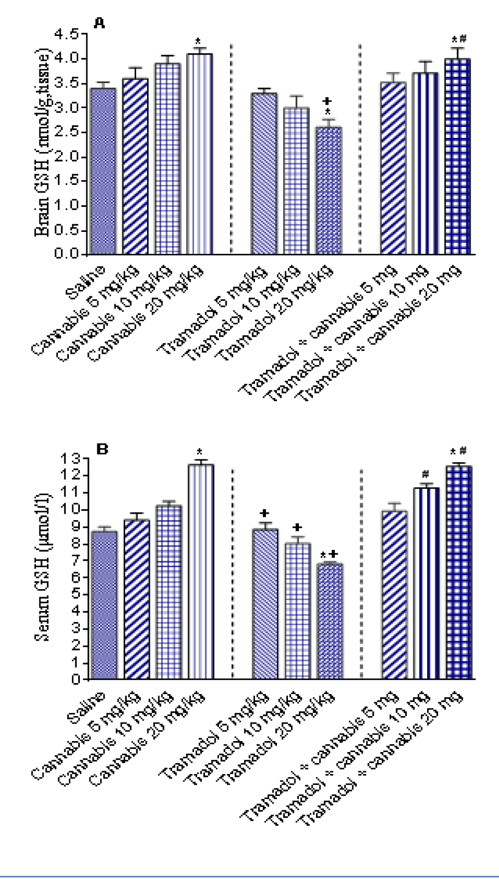
Figure 2: Effect of cannabis, tramadol or their combined administration for 6 weeks on reduced glutathione in brain and serum of rats treated with cannabis, tramadol or their combination. Values are mean ± SEM. *p< 0.05 vs. saline. +p<0.05 vs. only cannabis at 20 mg/kg. #p<0.05 vs. only tramadol at 20 mg/kg.

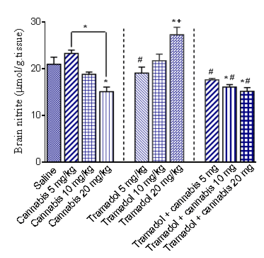
Figure 3: Brain nitric oxide after treatment with cannabis, tramadol or their combination for 6 weeks. Values are mean ± SEM. Nitric oxide: *p< 0.05 vs. saline. +p<0.05 vs. only cannabis at 10 or 20 mg/kg. #p<0.05 vs. only tramadol at 20 mg/kg.

Figure 4: Nuclear respiratory factor-2 (NrF2) in brain tissue and serum of rats given cannabis, tramadol or both for 6 weeks. Values are mean ± SEM. *p< 0.05 vs. saline. +p<0.05 vs. only cannabis.

Figure 5: Representative H & E sections of cerebral cortex after treatment with: (A) Saline. (B) Cannabis 5 mg/kg. (C) Cannabis 10 mg/kg. (D) Cannabis 20 mg/kg. (E) Tramadol 5 mg/kg. (F) Tramadol 10 mg/kg. (G) Tramadol 20 mg/kg. (H) Tramadol 10 mg/kg and cannabis 5 mg/kg. (I) Tramadol 10 mg/kg and cannabis 10 mg/kg. (J) Tramadol 10 mg/kg and cannabis 20 mg/ kg (H & E X 400). Abbreviations: Normal neurons (N); pyknotic nuclei (P); apoptotic cells (arrowhead); congested blood vessels (arrow); pericellular vacuoles (V); loss of nucleoli (red arrow).

Reduced glutathione: Reduced glutathione was determined using the procedure of Ellman et al. [28]. The assay is based on the reduction of Ellman´s reagent (DTNB; 5, 5’-dithiobis (2-nitrobenzoic acid)) by the free sulfhydryl group on reduced glutathione to form yellow colored 5-thio-2-nitrobenzoic acid which can be determined using spectrophotometer at 412 nm.

Quantification of NRF-2: Nuclear respiratory factor 2 was assayed in brain homogenates and serum using a double-antibody sandwich enzyme-linked immunosorbent assay (Shanghai Sunred Biological Technology

Histopathology

Brain sections were fixed in freshly prepared 10% neutral buffered formalin, processed routinely, and embedded in paraffin. Paraffin sections 5 μm thick were prepared and stained with hematoxylin and eosin for histopathological examination. Images were examined and photographed under a digital camera (Microscope Digital Camera DP70, Tokyo, Japan), and processed using Adobe Photoshop version 8.0 (San Jose, CA, USA).

Statistical analysis

Data are expressed as mean ± SE. Data were analyzed by one-way analysis of variance, followed by Duncan’s multiple range test for post hoc comparison of group means. Effects with a probability of p < 0.05 were considered to be significant.

Results

Biochemical results

Malondialdehyde: Brain malondialdehyde significantly increased after tramadol (5, 10 or 20 mg/kg) or tramadol-cannabis combination compared to the saline control group A dose-dependent increase in brain MDA by 25%, 29.6% and 37.8% was observed in rats treated with different doses of tramadol. A significant increments in brain MDA by 56.4%, 32.0% and 33.7% were also observed after the combined treatment with tramadol and cannabis (Table 1, Fig. 1A). Serum MDA was significantly increased after cannabis or 10-20 mg/kg tramadol compared to the saline control group (Fig. 1B). The level of MDA in serum of rats treated with both tramadol and cannabis was also significantly increased as compared to the saline control group (Table 1, Fig. 1B).

Table 1: Malondialdehyde (MDA), nitric oxide and reduced glutathione in cannabis and/or tramadol-treated rats.

Treatment group

Brain MDA (nmol/g. tissue)

Serum MDA (nmol/l)

Brain NO (µmol/g. tissue)

Brain GSH (µmol/g. tissue)

Serum GSH (µmol/l)

Saline

17.2 ± 1.0

33.7 ± 2.1

21.0 ± 1.5

3.4 ± 0.13

8.74± 0.27

Cannabis  5 mg/kg

20.1 ± 2.0

80.0 ± 5.4*
(137.4%)

23.3 ± 0.7

3.61 ± 0.22

9.41 ± 0.32
(7.7%)

Cannabis  10 mg/kg

19.7 ± 1.6

71.7 ± 6.0*
(112.7%)

18.8 ± 0.5

3.9 ± 0.17

10.26 ± 0.78
(17.4%)

Cannabis  20 mg/kg

18.9 ± 1.2

47.9 ± 3.1*
(42.1%)

15.1 ± 1.0*
(-28.1%)

4.1 ± 0.12*
(20.6%)

12.67 ± 0.30*
(45.0%)

Tramadol  5 mg/kg

21.5 ± 1.4 (25.0%)

39.7 ± 1.2+
(17.8%)

19.1 ± 1.1#

3.3 ± 0.10

8.87 ± 0.38+

Tramadol 10 mg/kg

22.3 ± 1.1* (29.6%)

46.0 ± 2.5*+
(36.5%)

21.8 ± 1.4

3.0 ±0.25

7.73 ± 0.40+
(-11.5%)

Tramadol  20 mg/kg

23.7 ± 1.3* (37.8%)

62.8 ± 3.3*
(86.3%)

27.3 ± 1.6*+
(30.0%)

2.6 ± 0.14*+
(-23.5%)

6.82 ± 0.12*+
(-22.0%)

Tramadol 10 mg/kg + Cannabis
5 mg/kg

26.9 ± 1.3*+ (56.4%)

90.0 ± 4.7*# (167.1%)

17.7 ± 0.3#
(-15.7%)

3.52 ± 0.19

9.93 ± 0.45

Tramadol 10 mg/kg + Cannabis
10 mg/kg

22.7 ± 0.9* (32%)

82.0± 3.6*# (143.3%)

16.1 ± 0.5*#
(-23.3%)

3.71 ± 0.24

11.31 ± 0.25#
(29.4%)

Tramadol 10 mg/kg + Cannabis
20 mg/kg

23.0 ± 0.7* (33.7%)

73.4 ± 4.1*# (117.8%)

15.2 ± 0.8*#
(-27.6%)

4.0 ± 0.22*#
(17.6%)

12.57 ± 0.21*#
(43.8%)

MDA: *p< 0.05 vs. saline group. +p<0.05 vs. cannabis only at 5 or 10 mg/kg. # p<0.05 vs. only tramadol. Nitric oxide: *p< 0.05 vs. saline. +p<0.05 vs. only cannabis at 10 or 20 mg/kg. #p<0.05 vs. only tramadol at 20 mg/kg. GSH: *p< 0.05 vs. saline. +p<0.05 vs. only cannabis at 20 mg/kg. #p<0.05 vs. only tramadol at 20 mg/kg. The percent change from the saline control group is shown in parenthesis.

Reduced glutathione: Compared to the saline-treated group, tramadol given at 20 mg/kg caused a significant decrease in the level of brain reduced glutathione by 23.5%. Reduced glutathione was significantly increased by 20.6% after treatment with 20 mg/kg cannabis and by 17.6% after combined treatment with tramadol and 20 mg/kg cannabis. Serum reduced glutathione showed significant increase by 45.0% after treatment with cannabis at 20 mg/kg. It decreased by 22.0% by the administration of 20 mg/kg of tramadol with respect to the saline group. The combined treatment with tramadol 10 mg/kg and cannabis at 10 or 20 mg/kg was associated with 29.4% and 43.8% increments in reduced glutathione concentration compared with the saline group (Table 1, Fig. 2).

Nitric oxide: The administration of 20 mg/kg of cannabis induced 28.1% decrease in brain nitric oxide level with respect to the saline group. When given at 5 or 10 mg/ kg, tramadol showed no significant effect on brain nitric oxide. The higher dose of 20 mg/kg, however, resulted in kg tramadol and either 10 or 20 mg/kg cannabis resulted in significant decrease in brain nitrite by 23.3% and 27.6% as compared with the saline control value (Fig. 3)(Table 1).

Nuclear respiratory factor-2 (NRF-2): NRF-2 showed no-significant change in brain tissue following treatment with cannabis, tramadol or their combination. Serum NRF-2, however, significantly decreased by 22.9%, 27.6% and 30.2% after the administration of 5, 10 or 20 mg/kg cannabis, respectively. It decreased by 22.9% by 20 mg/ kg tramadol and by 27.6% and 30.2% after tramadol and cannabis at 10 or 20 mg/kg, respectively, compared with the saline (Fig 4)(Table 2).

Table 2: Nuclear respiratory factor 2 (NRF-2) in cannabis and/or tramadol-treated rats.

Treatment group

Brain NRF-2 (ng/ml)

Serum NRF-2 (ng/ml)

Saline

13.0 ± 0.57

23.65± 1.2

Cannabis  5 mg/kg

13.6 ± 0.63

18.22 ± 0.24*
(-22.9%)

Cannabis  10 mg/kg

13.8 ± 1.0

17.12 ± 0.40*
(-27.6%)

Cannabis  20 mg/kg

15.1 ± 0.6
(16.1%)

16.51 ± 0.31*
(-30.2%)

Tramadol  5 mg/kg

13.0 ± 0.38

23.6 ± 0.48+

Tramadol 10 mg/kg

13.5 ± 0.70

22.0 ± 0.32+

Tramadol  20 mg/kg

13.6 ± 0.50

18.3 ± 0.25+
(-22.6%)

Tramadol 10 mg/kg + Cannabis
5 mg/kg

13.72 ± 0.43

20.0 ± 0.91

Tramadol 10 mg/kg + Cannabis
10 mg/kg

14.6 ± 0.75

18.8 ± 0.62
(-20.5%)

Tramadol 10 mg/kg + Cannabis
20 mg/kg

15.4 ± 0. 39
(18.5%)

17.05 ± 0.14
(-27.9%)

NRF-2: *p< 0.05 vs. saline. +p<0.05 vs. only cannabis. #p<0.05 vs. only tramadol at 10 or 20 mg/kg. The percent change from the saline control group is shown in parenthesis.

Histopathological results

Hematoxylin and eosin-stained cerebral cortex sections from the saline group showed a normal appearance with neurons with prominent nucleoli nucleoli (Fig 5 A). Rats treated with cannabis at 5 mg/kg showed nearly normal of cortex with very few nuclear pyknosis (pyknosis (Fig 5 B). Cannabis given at 10 or 20 mg/kg resulted in mild apoptotic cells and pyknotic nuclei and congestion of blood vessels vessels (Fig 5 C & D).

Sections from the group treated with tramadol at 5 or 10 mg/kg revealed necrosis, pericellular vacuoles, with congestion blood vessels, apoptosis, deeply stained nuclei and some neurons lost their nucleoli their nucleoli (Fig 5 E & F). The higher dose of the drug resulted in disorganization of cortical layers, intensely stained focal eosinophilic areas, pericellular vacuoles, with congestion blood vessels. Furthermore, neuronal cells showed shrunken neurons with pyknotic nuclei, apoptotic cells and neurons loss of their nucleoli nucleoli (Fig 5 G). Sections from animals treated with tramadol 10 and cannabis at 5 or 10 mg/kg showed less degenerative changes, less necrosis, apoptotic, pyknotic in neuronal cells and some neurons loss of their nucleoli (Fig 5 H & I). However, in the group treated with tramadol 10 mg/kg and cannabis at 20 mg/kg there were more degenerative damage, necrosis with vacuolation , apoptosis and pycknosis in neuronal cells. Congestion blood vessels and some neuronal loss of their nucleoli were also observed (Fig 5 J).

Discussion

In this study biomarkers of oxidative stress were assessed in rats treated with a cannabis resin extract rich in Δ9-THC, tramadol or their combination for 6 weeks. We assessed lipid peroxidation in both the brain homogenates and serum by measuring the level of malondialdehyde. The latter is an end product of polyunsaturated fatty acid peroxidation which indicates free radical attack on their side chain and is therefore a marker of membrane lipid peroxidation [29]. When treating rats with only cannabis extracts, we found marked increase in the level of malondialdehyde in serum in contrast to nonsignificant increase in brain tissue. This finding might be attributed to the wide distribution of Δ9-THC, particularly to fatty tissues, after absorption with less than 1% of an administered dose reaching the brain [30]. It was also noted that the increments in serum malondialdehyde due to the cannabis resin were more evident at the doses of 5 or 10 mg/kg compared with the higher dose of 20 mg/kg. This finding suggests that as the dose of the resin increases other constituents of the resin are able to antagonize the action of Δ9-THC and which add to the complexity in the action of cannabis on oxidative stress. It is also possible that stimulation of compensatory/ antioxidant mechanisms account for this observation.

Several studies have investigated the effect of cannabis or Δ9-THC on oxidative stress. In marijuana smokers, there were significantly increased malondialdehyde in red blood cells, and decreased total antioxidant capacity and reduced glutathione in serum compared with non-smokers [31]. In subjects with cannabis use disorder, Bayazit et al. [32] reported increased levels of total oxidant status, and oxidative stress index in serum as compared with healthy controls. A study by Bloomer et al. [33] on young and physically active subjects, however, found no significant differences in serum malondialdehyde or advanced oxidation protein produces between marijuana smokers and non-smokers. Coskun and Bolkent [34] reported increased malondialdehyde in the plasma of rats given Δ9- THC (3 mg/kg) daily for one week. In contrast, diabetic rats treated with THC exhibited decreased lipid peroxidation. Other researchers observed decreased lipid peroxidation in serum of control and also diabetic rats by treatment with low dose of Δ9-THC (0.15 mg/kg for eight weeks) [35]. Ebuchi and Solanke [36] found increased malondialdehyde in rat brain and liver after treatment with 25 mg/kg marijuana extract. Other studies in rodents using marijuana or cannabis resin extracts failed to demonstrate increased lipid peroxidation in the brain and even a moderate though a significant decrease in lipid peroxidation was observed with the cannabis being given at 20 mg/kg [16,37]. A likely explanation for this observed discrepancy between the effect of resin-based and marijuana-based extracts is the resin and marijuana relative content of different cannabinoids, the presence of flavonoids in fresh leaves of marijuana, possible resin additives and/or longer administration time of the extract in the present study. On the other hand, increased lipid peroxidation was detected in brain and serum after treatment with tramadol, while the higher dose of the drug caused significant decrease in reduced glutathione. These findings are consistent with other studies in the rat [38,39].

Our present findings in addition indicate that the higher dose of cannabis resin was able to increase serum level of reduced glutathione by 46% relative to the vehicle control value. Several previous studies have shown increased brain reduced glutathione by cannabis administration in rodents. Cannabis has also been shown to increase brain catalase activity [40], superoxide dismutase activity and ascorbic acid content [41] in rat brain. Other researchers found no effect for THC on erythrocyte GSH, plasma catalase or superoxide dismutase in normal rats. In diabetic rats, however, treatment with THC increased erythrocyte GSH and plasma superoxide dismutase activity [34]. Cannabis thus exerts a complex action with both antioxidant and prooxidant effects being reported as mentioned above.

The free radical nitric oxide (NO) is a major neuronal messenger and controls vascular tone. Nitric oxide is produced by nitric oxide synthase (NOS) from L- arginine. Three distinct isoforms of NOS have been identified; neuronal NOS being the isoform mostly found in neuronal tissue, iNOS which is the isoform that is inducible in conditions such as ischaemia, hypoxia or toxaemia and eNOS found in vascular endothelial cells [42]. iNOS is most often associated with inflammatory conditions in which it is produced in large amounts by a variety of cells types of cells, such as macrophages, microglia, astrocytes. In brain tissue, the NO produced by the neuronal and inducible isoforms of NOS can be neurotoxic during hypoxia [43]. In the present study, the administration of cannabis resin (20 mg/kg Δ9-THC) resulted in significant decrease in brain NO content. Similar observations were reported in mice treated with only marijuana extract at 10, 15 or 20 mg/kg (expressed as Δ9-THC) for 18-30 days [16,44]. In rats, Vella et al. [35] noted that treatment with Δ9-THC (15 mg/ kg, i.p. for two months) induced a 24.6% decrease in serum nitric oxide. Marijuana extracts have also been shown to decrease nitric oxide production in brain after intrastriatal or systemic rotenone administration in mice [40,45]. Other studies reported increased nitric oxide level in sera of marijuana smokers [31]. In astrocyte culture, iNOS expression and increased nitric oxide production induced by bacterial lipopolysaccharide (LPS) or interleukin-1β was inhibited by synthetic CB1 agonists and by anandamide, an endogenous ligand for the CB1 recepor [46,47]. Similarly Δ9-THC or synthetic CB1 agonists inhibited iNOS expression and nitric oxide release by macrophags or brain microglia cells in response to bacterial LPS [48,49]. Inhibition of nitric oxide release might therefore underlie at least in part the ability of cannabinoids to protect neurons from excitotoxic injury [50]. In contrast to the effect of cannabis, the administration of tramadol at 20 mg/kg resulted in a significant increase in brain nitric oxide which is in agreement with other studies [51]. Treatment with both agents, however, resulted in lower brain content nitric oxide compared with the vehicle treated group, with this effect being more obvious in the group given high dose cannabis.

The mitochondria are a major source of reactive oxygen metabolites in the cell and are also a site for free radical attack with consequent mitochondrial dysfunction [52]. The latter is thought to occur during aging and age-related neurodegenerative diseases and results in generation of increased amounts of reactive oxygen species [53]. The transcription factor, nuclear respiratory factor-2 (NRF- 2), also known as GA-binding protein, is required for the expression of a number of nuclear-encoded mitochondrial proteins required for mitochondrial respiratory function and oxidative phosphorylation and is thus essential for the control of mitochondrial biogensis and functions and synaptic transmission [54,55]. Its loss results in reduced mitochondrial mass, oxygen consumption decreased ATP production and mitochondrial protein synthesis [56]. In the current study, we showed that serum NRF-2 (though not brain NRF-2) significantly decreased by cannabis. Serum NRF2, also decreased by the higher dose of tramadol and by the combination of tramadol and 10-20 mg/kgcannabis. These findings suggest inhibition of NRF-2 by cannabis and/or tramadol which could have implications on mitochondrial biogenesis and activity.

Our histopathological study indicated neurotoxic effects for cannabis and tramadol. Sections from the cerebral cortex showed dose-dependent neuronal damage which was more marked in rats treated with tramadol or tramadol/20 mg/kg cannabis. These results are consistent with previously published data [17,38,39]. Rats given Δ9-THC rich cannabis extracts exhibited dark neurons, decreased size of nuclei, brain cellular infiltration, gliosis and increased caspase-3 immunoreactivity, indicating increased apoptosis. These effects of cannabis were dosedependent [17]. Tramadol given at 30 mg/kg, orally for 10 days resulted in neuronal degeneration in the form of neurons with acidophilic cytoplasm and dark nuclei in rat cerebral cortex [39]. Other researchers reported degeneration of pyramidal cells, shrunken neurons, cytoplasmic vacuolization and apoptosis (Bax expression) in rat cerebral cortex after tramadol administration (50 mg/kg for 4 weeks) [51].

Conclusions

In summary, the results of the present study indicate that cannabis exerts a complex action with both antioxidant and prooxidant effects in contrast to tramadol which causes brain and systemic oxidative response. The study indicated neurotoxic effects for cannabis and tramadol. The repeated administration of either cannabis or tramadol was associated with the development of neuronal injury which was more marked with tramadol.

Funding information

This research was supported by NRC Research Project number 10001004.

References

  1. Klein JA, Ackerman SL. Oxidative stress, cell cycle, and neurodegeneration. J Clin Investig 2003;111(6): 785-793.
  2. Halliwell B: Biochemistry of oxidative stress. Biochem Soc Trans 2007;35:1147–1150.
  3. Sayre LM, Perry G, Smith MA: Oxidative stress and neurotoxicity. Chem Res Toxicol 2008;21:172–188.
  4. Sies H: Oxidative stress: oxidants and antioxidants. Exp Physiol 1997;82:291–295.
  5. Castelli V, Benedetti E, Antonosante A, Catanesi M, Pitari G, Ippoliti R et al. Neuronal cells rearrangement during aging and neurodegenerative disease: metabolism, oxidative stress and organelles dynamic. Front Mol Neurosci. 2019;12:132. doi: 10.3389/fnmol.2019.00132. eCollection 2019.
  6. Chen X, Guo C, Kong J. Oxidative stress in neurodegenerative diseases. Neural Regen Res. 2012; 7(5): 376–385.
  7. Iacovelli L, Fulceri F, De Blasi A, Nicoletti F, Ruggieri S, Fornai F. The neurotoxicity of amphetamines: bridging drugs of abuse and neurodegenerative disorders. Exp Neurol 2006;201(1):24-31.
  8. Abdel-Salam OME, Youness ER, Morsy FA, Yassen NN, Mohammed NA, Sleem AA. Methylene blue protects against toluene induced brain damage. Involvement of nitric oxide, NF-κB, and caspase-3”. Reactive Oxygen Species 2016; 2(5):371–387.
  9. World Drug Report 2018 (United Nations publication, Sales No. E.18.XI.9).
  10. ElSohly MA, Radwan MM, Gul W, Chandra S, Galal A. Phytochemistry of Cannabis sativa L. Prog Chem Org Nat Prod 2017; 103: 1-36.
  11. Panlilio LV, Goldberg SR, Justinova Z. Cannabinoid abuse and addiction: Clinical and preclinical findings. Clin Pharmacol Ther 2015; 97(6): 616–627.
  12. 12. Hooper SR, Woolley D, De Bellis MD. Intellectual, neurocognitive, and academic achievement in abstinent adolescents with cannabis use disorder. Psychopharmacology (Berl) 2014; 231:1467-77
  13. Solowij N, Battisti R. The chronic effects of cannabis on memory in humans: a review. Curr Drug Abuse Rev 2008; 1:81-98
  14. Becker B, Wagner D, Gouzoulis-Mayfrank E, Spuentrup E, Daumann J. The impact of early-onset cannabis use on functional brain correlates of working memory. Prog Neuropsychopharmacol Biol Psychiatry 2010; 34:837-845
  15. Lorenzetti V, Solowij N, Whittle S, Fornito A, Lubman DI, Pantelis C et al. Gross morphological brain changes with chronic, heavy cannabis use. Br J Psychiatry 2015; 206:77-78
  16. Abdel-Salam OME, Salem NA, El-Shamarka ME-S, Ahmed NA-S, Hussein JS, El-Khyat ZA. Cannabis-induced impairment of learning and memory: Effect of different nootropic drugs (2013) EXCLI J 2014; 12: pp. 193-214.
  17. Abdel-Salam OME, Youness ER, Shaffee N. Biochemical, immunological, DNA and histopathological changes caused by Cannabis Sativa in the rat. J Neurol Epidemiol 2014; 2: 6-16.
  18. Sarafian TA, Magallanes JAM, Shau H, Tashkin D, Roth MD. Oxidative stress produced by marijuana smoke: an adverse effect enhanced by cannabinoids. Am J Respir Cell Mol Biol 1999; 20:1286-1293.
  19. Wolff V, Schlagowski AI, Rouyer O, Charles AL, Singh F, Auger C et al. Tetrahydrocannabinol induces brain mitochondrial respiratory chain dysfunction and increases oxidative stress: a potential mechanism involved in cannabis-related stroke. Biomed Res Int. 2015;2015:323706
  20. Miotto K, Cho AK, Khalil MA, Blanco K, Sasaki JD, Rawson R. Trends in tramadol: pharmacology, metabolism, and misuse. Anesth Analg 2017;124(1):44-51.
  21. Dart RC, Surratt HL, Cicero TJ, Parrino MW, Severtson SG, Bucher-Bartelson B et al. Trends in opioid analgesic abuse and mortality in the United States. N Engl J Med 2015;372(16):1573.
  22. Novak SP, Håkansson A, Martinez-Raga J, Reimer J, Krotki K, Varughese S. Nonmedical use of prescription drugs in the European Union. BMC Psychiatry. 2016 Aug 4;16:274.
  23. Taha M, Taalab YM, Abo-Elez WF, Eldakroory SA. Cannabis and tramadol are prevalent among the first episode drug-induced psychosis in the Egyptian population: single center experience. Reports 2019; 2(2)” 16.
  24. Olsson MO, Öjehagen A, Brådvik L, Kronstrand R, Håkansson A. High rates of tramadol use among treatment-seeking adolescents in Malmö, Sweden: a study of hair analysis of nonmedical prescription opioid use. Journal of Addiction 2017 (2017), Article ID 6716929.
  25. 25. Turner JC, Mahlberg PG. Separation of acid and neutral cannabinoids in Cannabis sativa L. using HPLC. In: Agurell S, DeweyWL, Willete RE (eds) The cannabinoids: chemical, pharmacologic, and therapeutic aspects. Academic Press, USA, 1984, pp 79–88
  26. Nair V, Turner GA. The thiobarbituric acid test for lipid peroxidation: structure of the adduct with malondialdehyde. Lipids 1984; 19:804-805.
  27. Moshage H, Kok B, Huizenga JR (1995) Nitrite and nitrate determination in plasma: a critical evaluation. Clin Chem 41:892–896.
  28. Ellman GL. Tissue sulfhydryl groups. Arch Biochem Biophys 1959; 82(1):70–7.
  29. Gutteridge JMC: Lipid peroxidation and antioxidants as biomarkers of tissue damage. Clin Chem 1995;41:1819–1828.
  30. McGilveray IJ. Pharmacokinetics of cannabinoids. Pain Res Manag 2005;10 Suppl A:15A-22A.
  31. Toson ESA. Impact of marijuana smoking on liver and sex hormones: Correlation with oxidative stress. Nature and Science 2011;9(12):76-87.
  32. Bayazit H, Selek S, Karababa IF, Cicek E, Aksoy N. Evaluation of oxidant/antioxidant status and cytokine levels in patients with cannabis use disorder. Clin Psychopharmacol Neurosci 2017;15(3):237-242.
  33. Bloomer RJ, Butawan M, Smith NJG. Chronic marijuana smoking does not negatively impact select blood oxidative stress biomarkers in young, physically active men and women. Health 2018; 10(07): 960-970.
  34. Coskun ZM, Bolkent S. Evaluation of Δ9-tetrahydrocannabinol metabolites and oxidative stress in type 2 diabetic rats. Iran J Basic Med Sci 2016; 19:154-158.
  35. Vella RK, Jackson DJ, Fenning AS. Δ9-Tetrahydrocannabinol prevents cardiovascular dysfunction in STZ-diabetic Wistar-Kyoto rats. Biomed Res Int 2017;2017:7974149.
  36. Ebuehi OAT, Solanke AS. Cannabis sativa and 'Karole' induced oxidative stress and altered brain serotonin in adult Wistar rats. Nig. Qt J Hosp Med 2014; 24(3): 205-211.
  37. Abdel-Salam OME, Nada SA, Salem NA, El-Shamarka ME-S., Omara E. Effect of Cannabis sativa on oxidative stress and organ damage after systemic endotoxin administration in mice. Comp Clin Pathol 2014;, 23 (4): 1069-1085.
  38. Awadalla EA, Salah-Eldin AE. Molecular and histological changes in cerebral cortex and lung tissues under the effect of tramadol treatment. Biomed Pharmacother 2016; 82:269–80.
  39. Abdel-Salam OME, Youness ER, Mohammed NA, Abd El-Moneim OM, Shaffie N. Citicholine protects against tramadol-induced oxidative stress and organ damage. Reactive Oxygen Species 2019; 7(20): 106-120.
  40. Abdel-Salam OME, Khadrawy YA, Youness ER, Mohammed NA, Abdel-Rahman RF, Hussein JS et al. Effect of a single intrastriatal rotenone injection on oxidative stress and neurodegeneration in the rat brain. Comp Clin Pathol 2014; 23: 1457-1467.
  41. El-Hiny MA, Abdallah DM, Abdel-Salam OME, Salem NA, El-Khyat ZA, Kenawy SA. Co-administration of nicotine ameliorates cannabis-induced behavioral deficits in normal rats: role of oxidative stress and inflammation. Comp Clin Patho 2019; 28:1229–1236.
  42. Förstermann U, Sessa WC. Nitric oxide synthases: regulation and function. Eur Heart J 2012;33(7):829-37, 837a-837d.
  43. Brown GC. Nitric oxide and neuronal death.Nitric Oxide 2010; 23(3):153–65.
  44. Abdel-Salam OME, El-Shamarka ME-S., Salem NA, Gaafar AE-D.M. Effects of Cannabis sativa extract on haloperidol-induced catalepsy and oxidative stress in the mice. EXCLI J 2012; 11: 45-58.
  45. Abdel-Salam OME, Omara EA, El-Shamarka ME-S, Hussein JS. Nigrostriatal damage after systemic rotenone and/or lipopolysaccharide and the effect of cannabis. Comp Clin Pathol 2014; 23: 1343-1358.
  46. Molina-Holgado F, Molina-Holgado E, Guaza C, Rothwell NJ. Role of CB1 and CB2 receptors in the inhibitory effects of cannabinoids on lipopolysaccharide-induced nitric oxide release in astrocyte cultures. J Neurosci Res 2002;67(6):829-36.
  47. Sheng WS, Hu S, Min X, Cabral GA, Lokensgard JR, Peterson PK. Synthetic cannabinoid WIN55,212-2 inhibits generation of inflammatory mediators by IL-1beta-stimulated human astrocytes. Glia 2005;49(2):211-9.
  48. Jeon YJ, Yang KH, Pulaski JT, Kaminski NE. Attenuation of inducible nitric oxide synthase gene expression by delta 9-tetrahydrocannabinol is mediated through the inhibition of nuclear factor- kappa B/Rel activation. Mol Pharmacol 1996;50(2):334-41.
  49. Cabral GA1, Harmon KN, Carlisle SJ. Cannabinoid-mediated inhibition of inducible nitric oxide production by rat microglial cells: evidence for CB1 receptor participation. Adv Exp Med Biol. 2001;493:207-14.
  50. Kim SH, Won SJ, Mao XO, Jin K, Greenberg DA. Molecular mechanisms of cannabinoid protection from neuronal excitotoxicity. Mol Pharmacol 2006.
  51. Ghoneim FM, Khalaf HA, Elsamanoudy AZ, Helaly AN. Effect of chronic usage of tramadol on motor cerebral cortex and testicular tissues of adult male albino rats and the effect of its withdrawal: histological, immunohistochemical and biochemical study. Int J Clin Exp Pathol 2014; 7:7323-7341
  52. Michael P. Murphy. How mitochondria produce reactive oxygen species. Biochem J. 2009; 417(Pt 1): 1–13.
  53. Haas RH. Mitochondrial Dysfunction in Aging and Diseases of Aging. Biology (Basel) 2019; 8(2): 48.
  54. Priya A, Johar K, Wong-Riley MTT. Nuclear respiratory factor 2 regulates the expression of the same NMDA receptor subunit genes as NRF-1: Both factors act by a concurrent and parallel mechanism to couple energy metabolism and synaptic transmission. Biochimica et Biophysica Acta 2013; 1833 (1): 48–58.
  55. Baldelli S, Aquilano K, Ciriolo MR. Punctum on two different transcription factors regulated by PGC-1α: nuclear factor erythroid-derived 2-like 2 and nuclear respiratory factor 2. Biochim Biophys Acta 2013;1830(8):4137-46.
  56. Yang ZF, Drumea K, Mott S, Wang J, Rosmarin AG. GABP transcription factor (nuclear respiratory factor 2) is required for mitochondrial biogenesis. Mol Cell Biol. 2014;34(17):3194-201.